parenting
Cara Merasionalkan Pecahan Bentuk Akar dalam Matematika untuk Diajarkan ke Anak
HaiBunda
Rabu, 11 Feb 2026 18:50 WIB
Daftar Isi
Bunda, pernah lihat tanda akar di pelajaran Matematika Si Kecil? Bentuknya seperti simbol √ itu, lho. Nah, tanda ini disebut bentuk akar, dan sebenarnya masih "keluarga" dari pangkat.
Sederhananya, bentuk akar adalah cara lain untuk menuliskan bilangan berpangkat. Tapi uniknya, hasilnya sering kali bukan angka bulat, melainkan angka panjang yang tidak habis dibagi, atau disebut bilangan irasional. Contohnya seperti √3 atau √5.
Namun, tidak semua angka yang ada tanda akarnya termasuk bentuk akar, ya. Misalnya √9. Karena hasilnya pas 3 (angka bulat), jadi ini tidak lagi disebut bentuk akar.
ADVERTISEMENT
SCROLL TO CONTINUE WITH CONTENT
Di pelajaran Matematika nanti, Si Kecil juga akan belajar berbagai sifat bentuk akar, sampai trik khusus seperti merasionalisasi penyebut pecahan berbentuk akar. Kedengarannya memang rumit, tapi kalau dipelajari pelan-pelan, ternyata seru juga, kok!
Supaya makin paham, yuk kita bahas bersama langkah demi langkah di penjelasan berikut ini
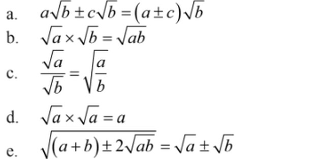
Sifat-sifat bentuk akar
Sifat-sifat bentuk akar memudahkan kita dalam melakukan operasi aljabar uang melibatkan bentuk akar. Perhatikan sifat-sifat bentuk akar berikut.
![]() Sifat-sifat Bentuk Akar |
Sumber: CCM Cara Cepat Menguasai Matematika SMA karya Tim Kreatif
Cara merasionalkan bentuk akar
Mengutip detikcom, dari Buku Perpangkatan dan Bentuk Akar oleh Eva Risdaniati, merasionalkan artinya mengubah bentuk bilangan irasional menjadi bentuk bilangan rasional. Hal ini dapat dilakukan pada :
1. Perkalian dua akar yang sama
2. Perkalian akar sekawan
Beberapa yang termasuk pasangan akar sekawan adalah:
√𝑎 − √𝑏 dan √𝑎 + √b
atau
(6 + √5) dan (6 − √5)
Cara merasionalkan bentuk akar penyebut bentuk 𝑎/√𝑏
Jika penyebut pecahan berupa bentuk akar maka dapat dirasionalkan dengan mengalikan bentuk akar yang sama atau sekawannya.
Untuk merasionalkan bentuk 𝑎/√𝑏 dilakukan dengan cara:
![]() Cara merasionalkan bentuk 𝑎/√𝑏 |
Sumber: buku Matematika Kelompok Teknologi, Kesehatan, dan Pertanian untuk Kelas X SMK karya Dini Afriyanti
Cara merasionalkan bentuk akar penyebut bentuk 𝑐/𝑎+√𝑏 𝑎𝑡𝑎𝑢 𝑐/√𝑎+√𝑏
Untuk merasionalkan bentuk 𝑐/𝑎+√𝑏 𝑎𝑡𝑎𝑢 𝑐/√𝑎+√𝑏 dilakukan dengan cara:
![]() Cara merasionalkan bentuk 𝑐/𝑎+√𝑏 𝑎𝑡𝑎𝑢 𝑐/√𝑎+√𝑏 |
Sumber: buku Matematika Kelompok Teknologi, Kesehatan, dan Pertanian untuk Kelas X SMK karya Dini Afriyanti
10 Contoh soal cara merasionalkan bentuk akar dan kunci jawabannya
Sederhanakan bentuk akar berikut:
1. √12
Jawaban: √12= √4x3 = √4 x √3 = 2√3
2. √8x³; x ≥ 0
Jawaban: √8x³ = √4x² x √2x
= 4x² = (2x)²
= 2x √2x
3. 6/√10
Jawaban: 6/√10 x √10/√10 = 6/10√10 = 3/5 √10
4. 4/ 5√3x ; x > 0
Jawaban: 4/5√3x = 4/5√3x x √3x/√3x = 4√3x/5 x 3x
= 4/15x √3x
Sederhanakan pecahan-pecahan berikut dengan merasionalkan penyebutnya.
5. 10/4+√6
Jawaban:
![]() Jawaban nomor 5 |
Sumber: buku Cerdas Belajar Matematika untuk Kelas X SMA karya Marthen Kanginan
6. √6/√15-√10
Jawaban:
![]() Jawaban nomor 6 |
Sumber: buku Cerdas Belajar Matematika untuk Kelas X SMA karya Marthen Kanginan
7. Nilai dari (3-√5)² sama dengan..
Jawaban:
![]() Jawaban nomor 7 |
Sumber: buku Kupas Matematika SMP Kelas 1,2,3 karya Ari Damari
8. Bentuk 2/2+√3 dapat disederhanakan menjadi..
Jawaban:
![]() Jawaban nomor 8 |
Sumber: buku Kupas Matematika SMP Kelas 1,2,3 karya Ari Damari
Selesaikan operasi aljabar pada bentuk akar berikut.
9. (1+√2)(3-√2)
Jawaban: (1+√2)(3-√2)= 1(3-√2)+√2 (3-√2)
=3-√2 +3√2 - 2
= 1+2√2
10. (4√3 - 3√5)(2√3 + √5)
Jawaban: (4√3 - 3√5)(2√3 + √5) = 4√3(2√3 + √5) - 3√5(2√3 + √5)
= (4√3)(2√3) + (4√3)(√5) - (3√5)(2√3) - 3√5(√5)
= 8(3) + 4√15 - 6√15 - 3(5)
= 24 + (4-6)√15 - 15
= 9 - 2√15
Demikian pembahasan mengenai cara merasionalkan pecahan akar matematika beserta contoh soalnya. Semoga membantu Si Kecil belajar di rumah ya!
Bagi Bunda yang mau sharing soal parenting dan bisa dapat banyak giveaway, yuk join komunitas HaiBunda Squad. Daftar klik di SINI. Gratis!
(rap/rap)TOPIK TERKAIT
ARTIKEL TERKAIT
Parenting
40 Soal Pecahan Kelas 6 SD Matematika, Cara Menghitung & dan Kunci Jawabannya
Parenting
30 Bank Soal Matematika SD Kelas 4, 5, dan 6 Beserta Pembahasan & Kunci Jawabannya
Parenting
Matematika Dasar Anak SD Kelas 1-6: Rumus, Contoh Soal & Cara Menghitung
Parenting
15 Contoh Soal Ulangan Harian Matematika Kelas 2 Tema 5, Belajar Bareng Si Kecil
Parenting
20 Contoh Soal Matematika Kelas 2 SD Semester 1 dan Jawabannya, Bantu Anak Kerjakan PR
7 Foto
Parenting
7 Potret Natarina Anak Taufik Hidayat yang Kini Beranjak Dewasa
HIGHLIGHT
ADVERTISEMENT
REKOMENDASI PRODUK
INFOGRAFIS
KOMIK BUNDA
FOTO
Fase Bunda







Bilangan Berpangkat: Pengertian, Jenis, Rumus, Sifat, dan Contoh Soalnya
40 Soal PTS Matematika Kelas 4 Semester 2 Kurikulum Merdeka dan Kunci Jawabannya
30 Contoh Soal Matematika Kelas 5 Semester 1 dan Kunci Jawabannya